「最低賃金がまた上がるらしいね」
そんなニュースを耳にしても、
「うちは関係ない」と思っていませんか?
でも、2025年の改定はこれまでとは少し違います。
全国すべての地域で、ついに時給1,000円を突破。
しかも、全国平均は1,121円(+66円)と、過去最大の上げ幅になりました。

物価の上昇、人手不足、そして政府が掲げる「時給1,500円時代」へのロードマップ。
——この流れの中で、企業が“今まで通り”ではいられないフェーズに入っています。
最低賃金は、もはや「法律の数字」ではなく「信頼の数字」。
社員や応募者が“この会社は安心か”を判断する基準になりつつあります。
この記事では、
福岡の社会保険労務士が、2025年10月時点の最新情報をもとに、
企業がいま見直すべき3つの実務ポイントをわかりやすく解説します。

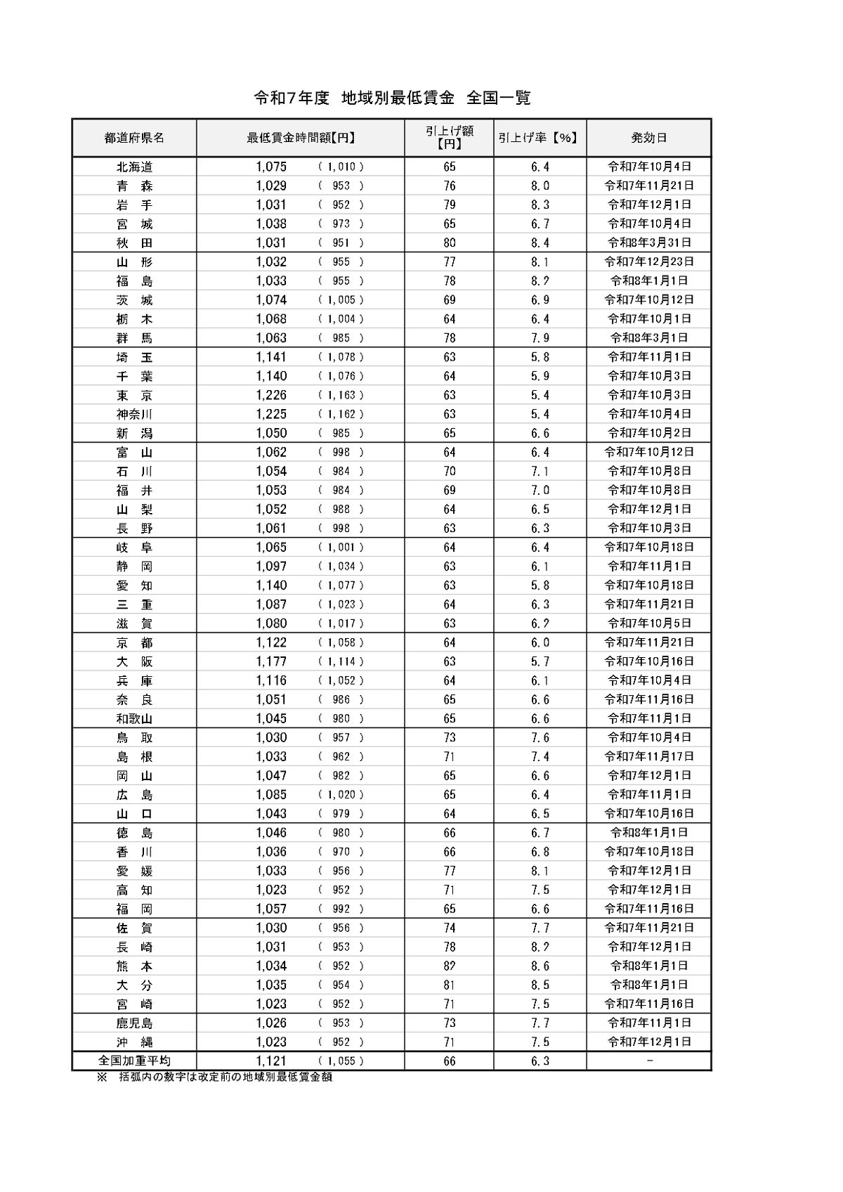
第1章|2025年、最低賃金はどう変わるの?
厚生労働省の発表によると、
2025年度の最低賃金は以下のように改定されます。

全国平均は 1,121円(+66円)。
これは過去最大の上げ幅です。
物価の上昇や人手不足の影響もあり、
政府は「全国平均で1,500円を目指す」との方針を示しています。
つまり、今の改定は“ゴール”ではなく“スタート”。
これからは 「給料を上げる時代」ではなく、「給料のつくり方を変える時代」 です。
第2章|「うちは月給だから関係ない」は本当?
実は、そうとは言いきれません。
最低賃金は「時給」で決まります。
月給制の人でも、月のお給料を働いた時間で割って計算すると、
実際の時給が最低賃金を下回っているケースがあります。
たとえば👇
月給180,000円 ÷ 173.8時間(1か月の平均労働時間) = 約1,036円
「173.8時間」というのは、
週40時間×年間52週を12か月で割ったときの1か月あたりの平均労働時間です。
つまり、月給18万円の人でも、
実際に働く時間で計算すると時給が1,036円ほど。
福岡県の最低賃金(1,051円)を下回ってしまいます。
(※筆者が福岡在住のため、福岡を例にしています)

たとえ悪気がなくても、「知らなかった」では済まされません。
こうした“うっかり割れ”は、固定残業代や手当のつけ方があいまいな会社ほど起こりやすいもの。
そして、その小さなズレが信頼を失うきっかけになることもあります。
第3章|“割れない会社”がやっている3つのこと
① お給料の中身を「見える化」する
「基本給」「手当」「残業代」など、
お給料の中に何が含まれているのかを整理しておきましょう。
どこまでが基本給で、どの手当が“最低賃金の計算に含まれない”のか。
ここを把握できていないと、思わぬ“最低賃金割れ”につながります。
まずは、基本給だけで最低賃金を超えているかを確認するのが第一歩です。
交通費や住宅手当など、
法律上“除外される手当”を入れて計算していないかにも注意しましょう。
② 残業代のルールをハッキリさせる
「みなし残業○時間」といった制度は、
時間の設定や計算方法があいまいだと、
実際には最低賃金を下回ることがあります。
働いた分をきちんと支払う。
その“あたりまえ”を、もう一度見直しましょう。
もし「固定残業代」で対応している場合は、
・みなし時間は何時間なのか
・超えたらどう計算するのか
を明確にしておくこと。
これが、社員との信頼を守るルールになります。
③ 年に一度は「時給換算チェック」をする
毎年9〜10月に最低賃金が改定されるタイミングで、
賃金台帳や給与明細をざっと確認するだけでも十分です。
たとえば
・基本給が地域の最低賃金を下回っていないか
・パート・アルバイトの時給設定が古いままになっていないか
・昇給や新入社員の給与が、基準より低くなっていないか
これは“会社の健康診断”のようなもの。
毎年この時期に見直す習慣をつけるだけで、思わぬトラブルを防げます。

第4章|これからは「整える会社」が生き残る
最低賃金が上がるたびに、
「人件費が増える…」と焦る会社も多いと思います。
でも、本当に大事なのは “仕組みを整えること” です。
たとえば
・仕事の内容に合ったお給料にする
・業務のムダを減らす
・働き方を柔軟にして、生産性を上げる
ある会社では、お給料を少し上げる代わりに、
仕事の進め方を社員と一緒に見直すよう変更されました。
「こうしたら効率が上がる」「この手順は不要かも」など、
現場の声を取り入れて小さな改善を重ねています。
結果的に、残業時間が減り、仕事の満足度も上がったそうです。
“整える会社”とは、
ただ制度を作る会社ではなく、社員と一緒に変わっていける会社 のことです。

まとめ|最低賃金は“信頼のライン”
最低賃金は、“法律の数字”ではなく、“信頼の数字”。
「うちの会社は、ちゃんとこのラインを守っている」
その安心感が、社員の信頼になり、採用にもつながります。
あなたの会社では、
“最低賃金を超えているか”を確認したのはいつですか?
そして、そのラインを守る仕組みは整っていますか?
もし今、少しでも不安があるなら、
このタイミングで見直すチャンスです。
数字を上げるより、
整えて、守れる仕組みをつくる。
それが、「信頼で選ばれる会社」の第一歩です。
最低賃金の見直しや、給与体系の整え方について
「うちの場合はどうすればいい?」というご相談は、
公式LINEからいつでも受け付けています。

社労士かなについて

こんにちは。「社労士かな」こと、的野加奈です。
福岡を拠点に、経営者・労務担当者から働く個人まで、労務と社会保険の「困った」を解決する社労士として活動しています。
労務の現場で「制度がわからない」「どこに聞けばいいかわからない」と悩む方に多く出会ってきました。
だからこそ、“わかりやすく伝えること”を大切にしています。
「労務は難しい言葉が多いけれど、本当はもっと身近で役立つ知識」
そう信じて、日々「実務ノート」として情報を発信しています。


